丘山仪器四探针电阻测量仪是专为科学研究设计的四探针电阻率测量仪,可以对最大 6 英寸晶圆的方阻、电阻率、电导率参数进行测量。探针头借鉴了机械钟表机芯的制造工艺,使用红宝石轴承引导碳化钨探针,确保高机械精度和长使用寿命。
对于薄层材料,半无界条件则不适用(当样品厚度和样品边缘到探针的距离远远大于探针间距的时候,可以认为被测样品为理想样品,也称半无界样品。)与半无界样品相比,薄层材料的区别在于其等势面分布并非半球形,而是呈圆柱形分布。可以理解为半无界样品的表面切掉一个厚度为 t 的薄层。此时距离点电流源 r 处等势面面积为 2πrt。

点电流源在半无界样品产生同心球面等电位面示意图-176-5252-0563
因为在半无界样品中,在距离点电流源中心 r 处的电场强度为
E = jρ
其中,E 为电场强度,j 为电流密度,ρ 为电阻率。距离点电流源 r 出的等电势面为半径为 r的半球面,因此其面积为2πr²。
所以,电场强度可以表示为E =Iρ/ 2πr²
由此可以得出薄层材料电场强度为E =Iρ/ 2πrt
同样的,取无穷远处电势为零,可以得出 r 处电势为
![]()
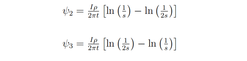
点 2 和 3 之间的电位分别为

当探针间距相等且为 s 的条件下,得到

所以
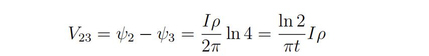
![]()
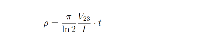
薄层材料电阻率可以表示为
这就是薄层材料四探针方法测试电阻率的表达式。由薄层材料电阻率表达式可知,采用等间距四探针方法进行薄层材料电阻率测试与探针间距 s 无关。

丘山仪器四探针电阻测试仪
丘山仪器拥有多种自主研发的四探针电阻测试仪,如具备全自动多点扫描的RM100扫描四探针电阻测试仪,操作简便的FPP150四探针电阻测试仪等。丘山仪器四探针对试品表面状态微小变化极为敏感,测量精度高,稳定性高,数据可视化高,操作简单。
联系我们
在线工程师
扫描二维码立马咨询
我们的电话
17652520563
我们的邮件
zhanghaitao999@foxmail.com